2020. 3. 23. 02:50ㆍAI/모두를 위한 딥러닝
이 포스트는 모두를 위한 딥러닝 - Tensor Flow를 정리한 내용을 담았습니다.
누구나 이해할 수 있는 수준으로 설명하고자 하였으며 LAB의 코드는 TF2.0에 맞추어 재작성되었습니다.
·Linear Regression (선형 회귀)
- Regression 이란?
우리는 이전 포스트 01. 기본적인 Machine Learning의 용어와 개념 설명의 지도 학습 예시인 부동산 가격 예측을 통해 Regression에 친숙해져 있을 수 있습니다.
실제로 Regression은 통계학자이자 인류학자였던 Sir Francis Galton이 말한 "Regression toward the mean", 즉 "전체의 평균으로 되돌아간다"는 것을 의미합니다.
자세히 말하자면, 어떤 데이터들이 굉장히 크거나 작을지라도 전체적으로 이 데이터들은 전체 평균으로 회귀하려는 특징이 있다는 의미의 통계적 원리입니다.
- Linear Regression (선형 회귀)
Linear Regression는 쉽게 "데이터를 가장 잘 대변하는 직선의 방적식을 찾는 것"입니다.

위 그림에서 점으로 표현된 많은 데이터들을 가장 잘 대변하는 직선은 y = ax + b입니다. 즉, Linear Regression은 이 직선 방정식의 a값과 b값을 구하는 것을 목적으로 합니다.
- Hypothesis
+) 아래에서부터는 이전 설명에서의 y = ax + b를 H(x) = Wx + b로 표현하겠습니다. (H(x)는 Hypothesis, W는 Weight, b는 bias로 정해서 표현하였습니다.)
아래의 표는 (X, Y)를 쌍으로 갖는 training data set의 한 예시입니다.
|
X |
Y |
|
1 |
1 |
|
2 |
2 |
|
3 |
3 |
위의 표에 나온 (X, Y) 데이터를 그래프에 표시하면 아래 왼쪽의 "Training Data Set"으로 표현할 수 있습니다.
아래 오른쪽의 Hypothesis, 직선들 중 데이터를 가장 잘 대변하는 직선은 파란색이며, 우리는 이 직선을
H(x) = Wx + b로 정할 것입니다. (물론 이 데이터를 가장 잘 대변하는 직선은 H(x) = x라는 것이 직관적이지만, 실제로는 훨씬 많은 (X, Y) 쌍의 데이터가 존재한다는 전제 하에 있습니다.)
따라서 데이터를 가장 잘 대변할 수 있는 H(x)의 W와 b를 정하는 것이 Linear Regression의 목적입니다.

- Cost / Cost function
Cost는 아래 그래프(1)에서 빨간 선으로 표현되어있듯 Hypothesis(H(x))와 실제 데이터(y)의 차이를 말합니다.
이제 우리는 Cost = H(x) - y에 데이터를 대입하여 Cost의 총합을 구하는 것이 가능하고, Cost의 총합이 작은 Hypothesis일수록 데이터를 잘 대변하는 훌륭한 Linear Regression이라는 것을 알 수 있습니다.
하지만 아래 (1)의 Cost 그래프에서처럼 Cost는 양수일 수도, 음수일 수도 있습니다. 따라서 그래프(2)에서처럼 특정 그래프의 경우에는 Hypothesis와 실제 데이터 값의 차이가 크지만 총합은 0이 되는 문제가 생길 수 있습니다.
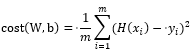
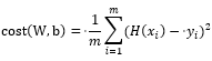
이러한 문제를 방지하고자 우리는 앞으로 총합을 구할 때 Cost값을 제곱하여 평균을 내는 방식(평균 제곱 오차, MSE)을 사용하며 최종 목적인 Cost function(비용 함수)은 다음의 수식으로 정의할 수 있습니다. 앞으로 우리의 목적은 이 비용 함수를 최소화하는 것입니다.



이번 글에서는 Regression과 Linear Regression의 정의와 기본적인 의미에 대해 살펴보았으며, Hypothesis와 Cost function을 정의하는 방법을 배웠습니다. 머신러닝, 딥러닝에서 learning의 목적은 Cost를 정의하고 이를 최소화하는 것입니다.
'AI > 모두를 위한 딥러닝' 카테고리의 다른 글
| 03. How to minimize cost - Gradient descent (0) | 2020.04.03 |
|---|---|
| 02-2. Simple Linear Regression LAB (3) | 2020.03.31 |
| 02-1. 텐서플로우(TensorFlow)란? / 텐서플로우 설치 (1) | 2020.03.26 |
| 01. 기본적인 Machine Learning 의 용어와 개념 설명 (0) | 2020.03.22 |
| Docker 설치방법 (0) | 2020.03.22 |